• Предмет: Физика
  • Автор: LittleGeneral
  • Вопрос задан 10 лет назад

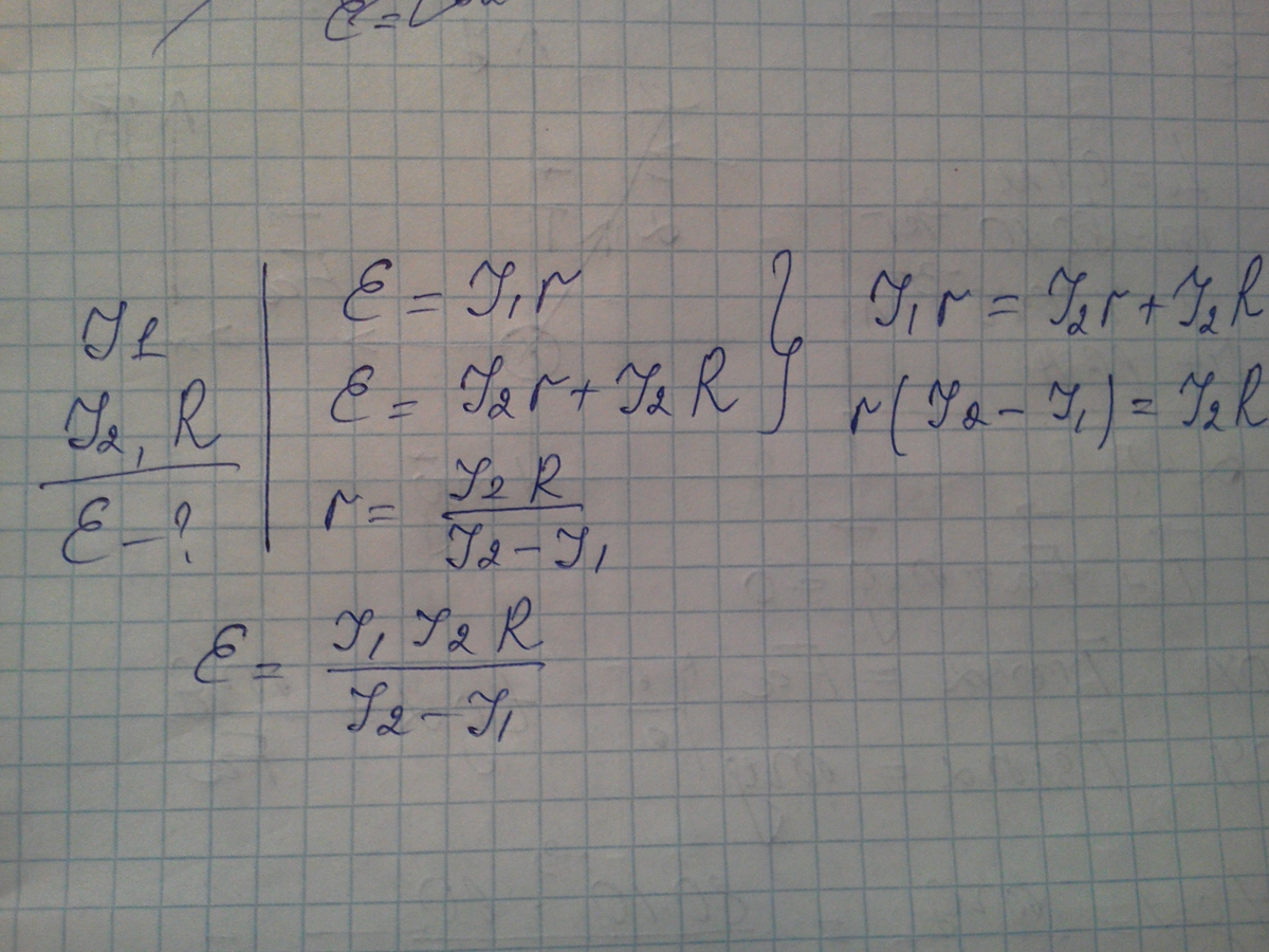
При коротком замыкании источника тока в цепи возникает сила тока I1,а при подключении резистора сопротивлением R,сила тока в цепи становится I2. Найти ЭДС источника тока.

Ответы

Ответ дал: 123vera2007
0

решение в присоединенном файле
Приложения:
Вас заинтересует