• Предмет: Математика
  • Автор: moana12
  • Вопрос задан 10 лет назад

Помогите пожалуйста!!!   числа написанные словами - обычные дроби 
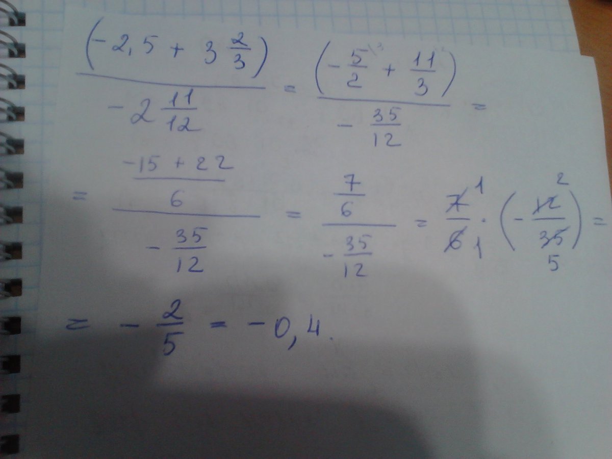
(-2.5 + три целых две третьих) : (- две целых одиннадцать двенадцатых)

Найди значение выражения:
пять двенадцатых *(4.8а - 1.2в) - 3.6( четыре девятых а - одна четвертая в)
если а+в = -2

Ответы

Ответ дал: кезя
0
 вот))) там все не так сложно)))
Приложения:
Вас заинтересует