• Предмет: Алгебра
  • Автор: Аноним
  • Вопрос задан 10 лет назад

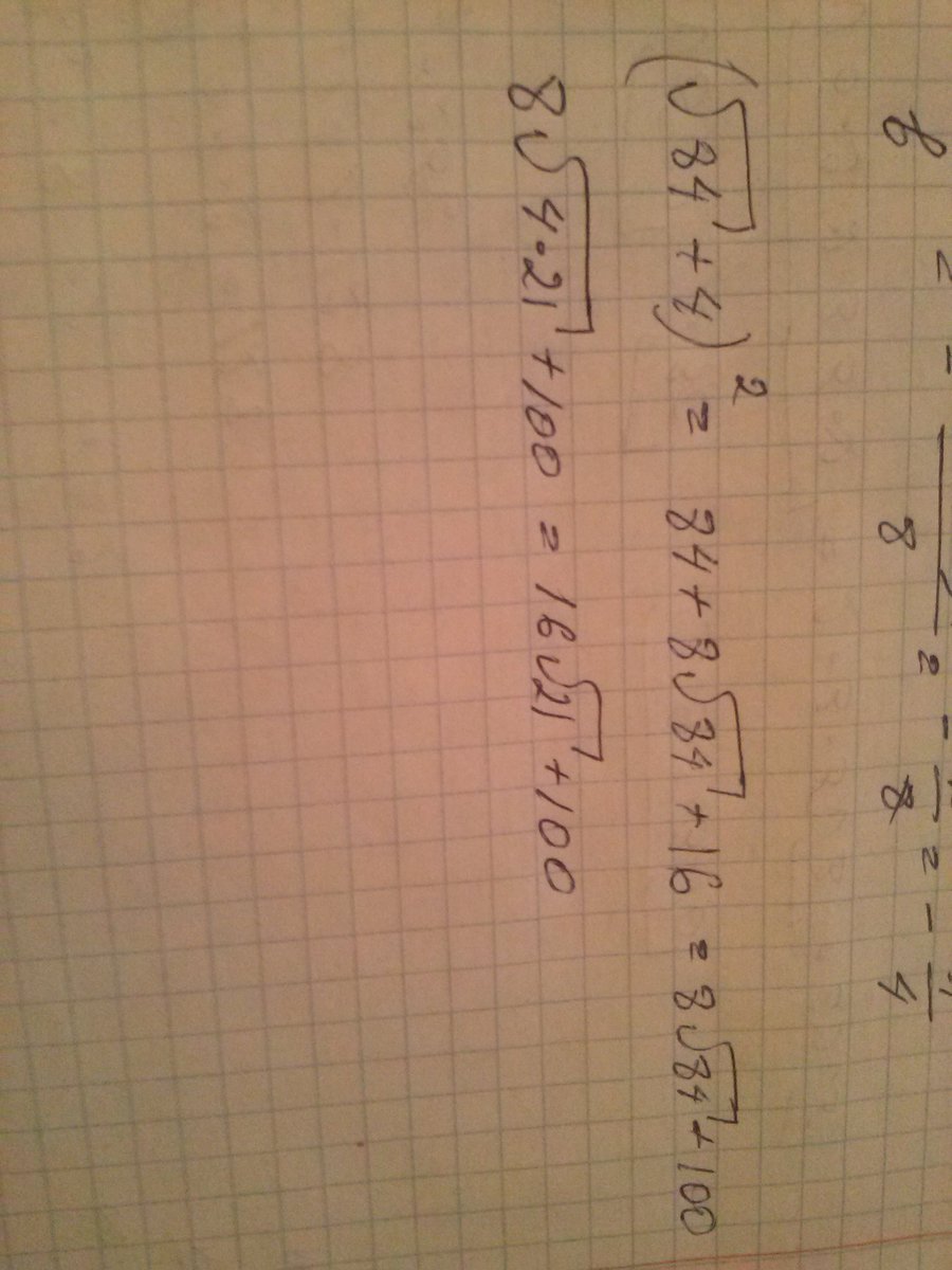
Нужна помощь: найти значение выражения. 
((корень из 84)+4)^2

Ответы

Ответ дал: karolinamik
0
надеюсь видно и ясно
Приложения:
Вас заинтересует