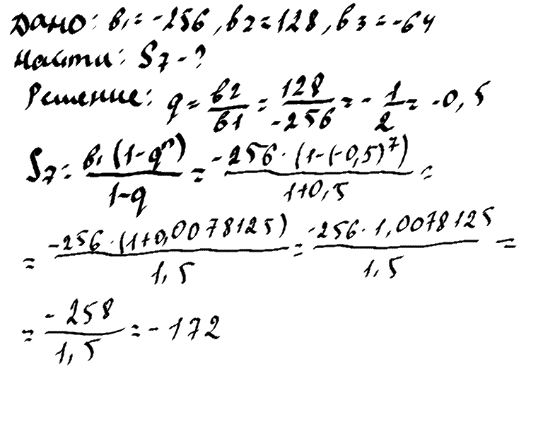
выписаны первые несколько членов геометрической прогрессии: -256;128; -64;.....найдите сумму первых семи членоd
Ответы
Ответ дал:
0
во вложении.......................
Приложения:

Вас заинтересует
2 года назад
2 года назад
7 лет назад
7 лет назад
10 лет назад
10 лет назад
10 лет назад