• Предмет: Алгебра
  • Автор: vixen16
  • Вопрос задан 11 лет назад

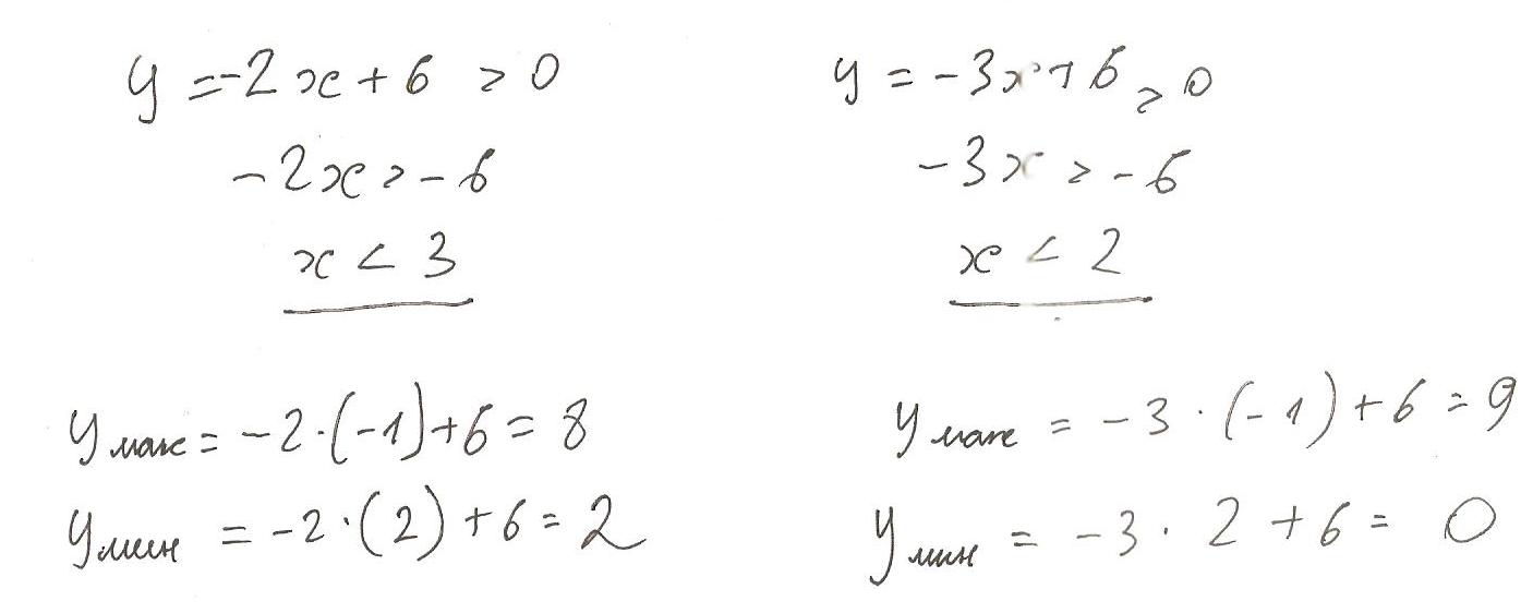
y=-2x+6    y=-3x+6

a)      найдите все значения аргумента , при которых  y>0

b)      Наибольшее и наименьшее  значения функции на [-1;2]

Ответы

Ответ дал: Artem112
0

надеюсь понятно будет....

Приложения:
Вас заинтересует