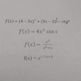
Найти производную функции e^(-7x+9) и (4-3x)^7+(3x-2)^(1/2)-ctg((x)^x), но надо с решением
Приложения:

Ответы
Ответ дал:
0
Вас заинтересует
2 года назад
7 лет назад
10 лет назад
10 лет назад
10 лет назад