• Предмет: Алгебра
  • Автор: novichek96
  • Вопрос задан 10 лет назад

Всем привет, решите пожалуйста  2 примера, нужно с решением.

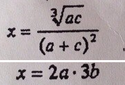
Прологарифмировать выражения.

Приложения:

Ответы

Ответ дал: NNNLLL54
0
1); x=frac{sqrt[3]{ac}}{(a+c)^2}\\lgx=lg(sqrt[3]{ac})-lg(a+c)^2=frac{1}{3}lg(ac)-2lg(a+c)=\\=frac{1}{3}lga+frac{1}{3}lgc-2lg(a+c)\\2); x=2acdot 3b\\lgx=lg(2acdot 3b)=lg(2a)+lg(3b)=lg2+lga+lg3+lgb
Вас заинтересует