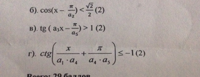
Помогите Решить неравенство! А1=3; А2=3
А3=4; А4=4; А5=4 рядом с уравнение в скобочках (2) это баллы за уравнение если что
Приложения:

Ответы
Ответ дал:
0
Ответ дал:
0
ой... в последнем номере меньше либо равно... <=
Вас заинтересует
7 лет назад
7 лет назад
10 лет назад
10 лет назад
10 лет назад