Ответы
Ответ дал:
0
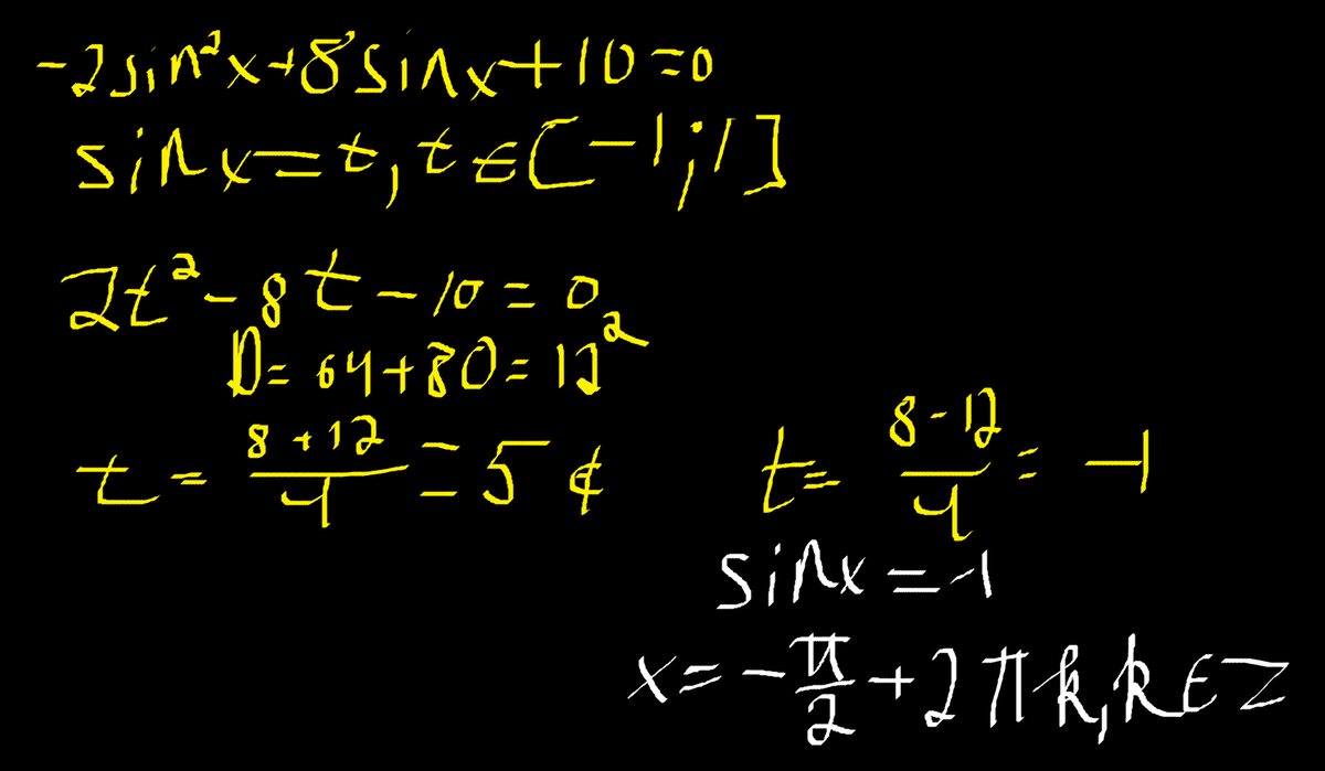
...бла..................................бла.................... бла............
Приложения:


Вас заинтересует
2 года назад
2 года назад
7 лет назад
10 лет назад
10 лет назад