• Предмет: Математика
  • Автор: dgreen
  • Вопрос задан 10 лет назад

помогите решить) чет разобраться не могу

Приложения:

Ответы

Ответ дал: eugeke
0
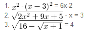
x^2-(x-3)^2=6x-2
x^2-(x^2-6x+9)=6x^2-2
x^2-x^2+6x-6x=7
Нет решений

 sqrt{2x^2+9x+5}-x=3
2x^2+9x+5 geq 0
2x^2+9x+5=(3+x)^2
x^2+3x-4=0
D=9+16=25;  sqrt{D}=5
x_1= frac{-3-5}{2}=-4  не соответствует по ОДЗ
x_2= frac{-3+5}{2}=1
Ответ: x=1

 sqrt{16- sqrt{x+1} }=4
16- sqrt{x+1}=16
 sqrt{x+1}=0
x+1=0
x=-1
 Ответ: x=-1
Вас заинтересует