• Предмет: Алгебра
  • Автор: kate6777
  • Вопрос задан 10 лет назад

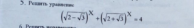
ОЧЕНЬ НУЖНА ВАША ПОМОЩЬ!!!! Я вроде почти решила, но что-то тут не то...

Приложения:

Ответы

Ответ дал: mmb1
0
Вы все правильно делаете не до конца доделали 
2 и -2
там тоже взаимно обратные корни получаются
Приложения:
Ответ дал: NNNLLL54
0
Вложение ........................................
Приложения:
Ответ дал: elviradar
0
У меня через логарифмы не получилось((((((((((
Вас заинтересует