Ответы
Ответ дал:
0
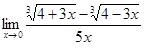
Так как у нас тут неопределенность 0/0, то можно попробовать найти предел по Лопиталю, т.е. посчитаем производные числителя и знаменателя.

Предел этой дроби при икс стремящемся к нулю уже можно сразу посчитать
![frac{ frac{1}{ 4^{ frac{2}{3} } } + frac{1}{ 4^{ frac{2}{3} } } }{5} = frac{2}{5* 4^{ frac{2}{3} } } = frac{1}{5* sqrt[3]{2} } frac{ frac{1}{ 4^{ frac{2}{3} } } + frac{1}{ 4^{ frac{2}{3} } } }{5} = frac{2}{5* 4^{ frac{2}{3} } } = frac{1}{5* sqrt[3]{2} }](https://tex.z-dn.net/?f=+frac%7B+frac%7B1%7D%7B+4%5E%7B+frac%7B2%7D%7B3%7D+%7D+%7D+%2B++frac%7B1%7D%7B+4%5E%7B+frac%7B2%7D%7B3%7D+%7D+%7D+%7D%7B5%7D++%3D++frac%7B2%7D%7B5%2A+4%5E%7B+frac%7B2%7D%7B3%7D+%7D+%7D+%3D++frac%7B1%7D%7B5%2A+sqrt%5B3%5D%7B2%7D+%7D+)
Предел этой дроби при икс стремящемся к нулю уже можно сразу посчитать
Вас заинтересует
8 лет назад
8 лет назад
11 лет назад
11 лет назад
11 лет назад