• Предмет: Алгебра
  • Автор: 13thmoon
  • Вопрос задан 10 лет назад

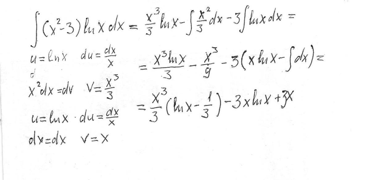
Вычислить неопределенный интеграл  ( x^2-3)lnx dx

Ответы

Ответ дал: Опыт
0
решение в файле, от вас жду отметки "Лучшее"
Приложения:
Вас заинтересует