Ответы
Ответ дал:
0
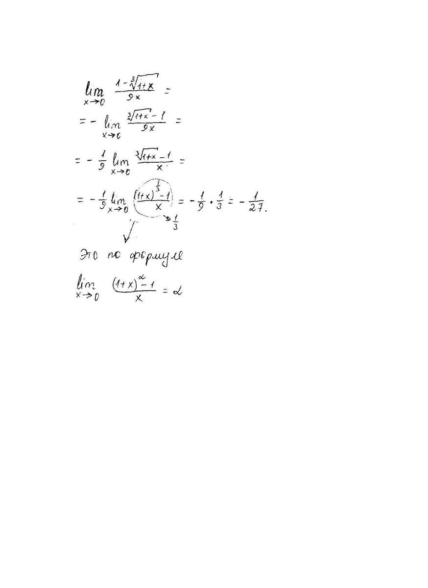
Смотри во вложении, должно быть понятно.
Приложения:

Ответ дал:
0
Спасибо большое, очень помогли:3
Вас заинтересует
2 года назад
7 лет назад
10 лет назад
10 лет назад