• Предмет: Математика
  • Автор: LexaLulikov
  • Вопрос задан 10 лет назад

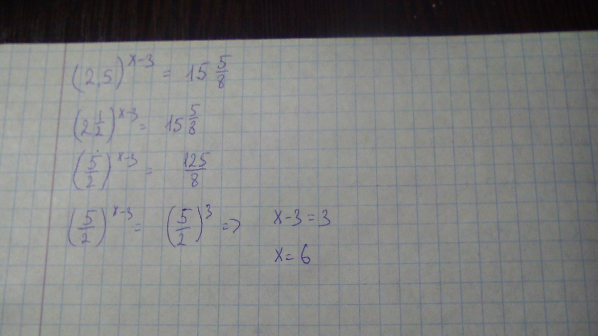
Решить уравнение (2.5) в степени х-3 =15 целых пять восьмых

Ответы

Ответ дал: ewgenijbark
0
см фото
////////////////////
Приложения:
Ответ дал: LexaLulikov
0
Здорово!Спасибо большое()))Не знал что такой сайт чудесный есть)Мне для подготовки в ВУЗ надо это...А еще примеры можете решить????
Ответ дал: irinan2014
0
Надо сначала поработать над основаниями....
Приложения:
Вас заинтересует