• Предмет: Алгебра
  • Автор: lesha0539
  • Вопрос задан 10 лет назад

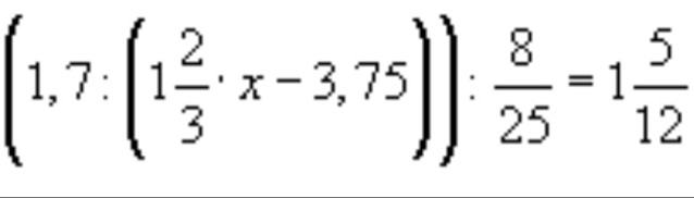
Решите пожалуйста по алгебре

Приложения:

Ответы

Ответ дал: IrenTr
0



Переводим десятичные дроби в обыкновенные, решаем через пропорцию, ответ 4.5
Вас заинтересует