• Предмет: Алгебра
  • Автор: Alexey612
  • Вопрос задан 10 лет назад

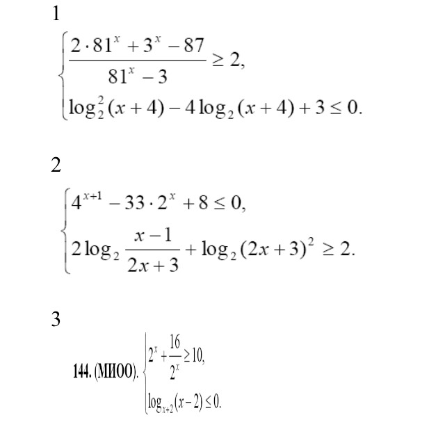
Ребят,спасайте(((все три надо(((

Приложения:

Ответа на этот вопрос пока нет. Попробуйте найти его через форму поиска.

Вас заинтересует