Ответы
Ответ дал:
0
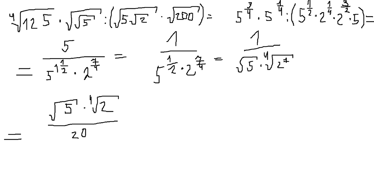
Решениеееееееееееееееееееееееееееееееее
Приложения:

Ответ дал:
0
значит ошибка в условии
Вас заинтересует
2 года назад
2 года назад
7 лет назад
7 лет назад
10 лет назад
10 лет назад