При сгорании циклоалкана массой 7г образуется оксид углерода(4) массой 22г.
Какой объем кислорода, измеренный при н.у. , расходуется при этом?
Ответы
Ответ дал:
0
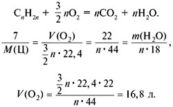
Дано:
m(CO2)=22г.
m(CnH2n)=7г.
Найти:
V(O2)-?
Решение:
m(CO2)=22г.
m(CnH2n)=7г.
Найти:
V(O2)-?
Решение:
Приложения:
Ответ дал:
0
Спасибо,конечно, но в интернете я и сама могу посмотреть;)
Ответ дал:
0
CnH2n + 3n/2O2 = nCO2 +n H2O
n(С)=n(СO2)= 22г/44г/моль= 0,5моль, m(C)= 0,5*12=6г; m(H) = 1 г; n(H) = 1 моль
n(О2) = 0,5*3/2=0,75 моль; V(O2)= 0,75 моль*22,4л/моль=16,8 л
n(С)=n(СO2)= 22г/44г/моль= 0,5моль, m(C)= 0,5*12=6г; m(H) = 1 г; n(H) = 1 моль
n(О2) = 0,5*3/2=0,75 моль; V(O2)= 0,75 моль*22,4л/моль=16,8 л
Приложения:
Вас заинтересует
3 года назад
8 лет назад
8 лет назад
10 лет назад
10 лет назад
11 лет назад