• Предмет: Алгебра
  • Автор: Dd1234567
  • Вопрос задан 11 лет назад

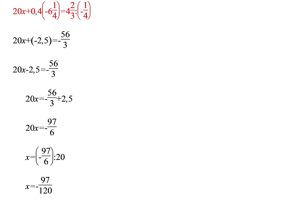
Помогите решить уравнение 20х+0,4*(-6целых1/4)=4целых2/3:(-1/4)

Ответы

Ответ дал: triolana
0

решение во вложении

------------------------------------------ 

Приложения:
Вас заинтересует