• Предмет: Алгебра
  • Автор: sonya124
  • Вопрос задан 11 лет назад

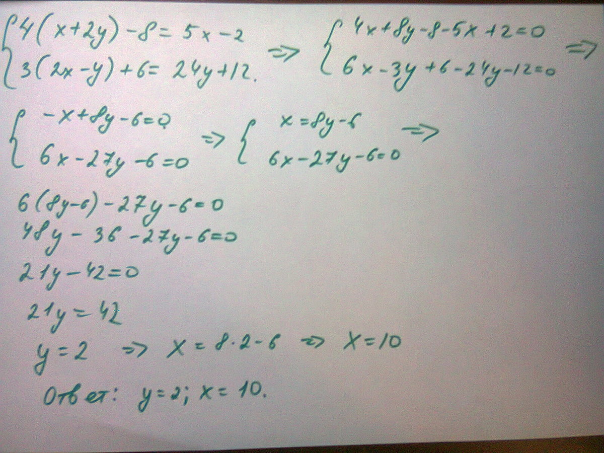
решите систему уравнений
4(x+2y)-8=5x-2 и 3(2x-y)+6=24y+12

Ответы

Ответ дал: Васюша17
0

у=2, х=10                                

                                                                                                         

на фото показанно как ведем систему и получаем ответ

Приложения:
Вас заинтересует