На 66,5 руб. купили 4 пачки печенья и 3 коробки конфет. Каждая коробка конфет стоила в 5 раз дороже пачки печенья. Сколько стоила коробка конфет
Ответы
Ответ дал:
0
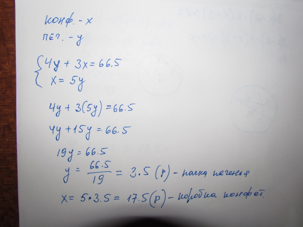
Решение в приложенном файле.
Приложения:

Ответ дал:
0
Спасибо
Ответ дал:
0
Х - стоит пачка печенья
5х- стоит коробка конфет
4х+3*5х=66,5
19х=66,5
х=66,5:19
Х=3,5
5*3,5=17,5
Ответ: коробка конфет стоит 17,5 руб
5х- стоит коробка конфет
4х+3*5х=66,5
19х=66,5
х=66,5:19
Х=3,5
5*3,5=17,5
Ответ: коробка конфет стоит 17,5 руб
Приложения:

Вас заинтересует
2 года назад
2 года назад
7 лет назад
10 лет назад
10 лет назад