Ответы
Ответ дал:
0
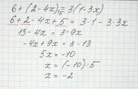
6+2-4х+5=3-9х
5х=-10
х=-2
5х=-10
х=-2
Ответ дал:
0
◕‿◕◕‿◕** Решение во вложении **.◕‿◕◕‿◕
Приложения:

Ответ дал:
0
ТОЧНЕЕ ТОЖЕ НАДО ВРОДЕ НЕТ?
Вас заинтересует
2 года назад
7 лет назад
7 лет назад
10 лет назад