Ответы
Ответ дал:
0
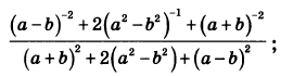
В числителе и знаменателе согласно формул сокращенного умножения разложены квадрат суммы.
Получается: (1/(a-b)+1/(a+b))² : (a+b+a-b)² = ((a+b+a-b)/(a-b)(a+b))² : 4a² =
=4a²/(a²-b²)² : 4a²= 1/(a²-b²)²
Получается: (1/(a-b)+1/(a+b))² : (a+b+a-b)² = ((a+b+a-b)/(a-b)(a+b))² : 4a² =
=4a²/(a²-b²)² : 4a²= 1/(a²-b²)²
Вас заинтересует
3 года назад
8 лет назад
8 лет назад
10 лет назад