Ответы
Ответ дал:
0
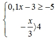
0.1x-3>-5⇒0,1x>-2⇒x>-20
-x/3>4⇒x<-12
x∈(-20;-12)
x=-19;-18;-17;-16;-15;-14;-13-всего 4 целых решений
-x/3>4⇒x<-12
x∈(-20;-12)
x=-19;-18;-17;-16;-15;-14;-13-всего 4 целых решений
Ответ дал:
0
Содержится 4 целых решения
Вас заинтересует
3 года назад
3 года назад
8 лет назад
8 лет назад
10 лет назад
10 лет назад
11 лет назад
11 лет назад