Ответы
Ответ дал:
0
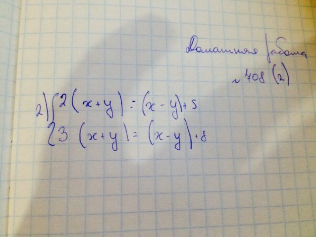
Вычтем из первого второе:
-(х+у)=-3;
-х-у=-3;
х+у=3;
х=3-у;
А теперь подставим в первое :
2(3-у+у)=(3-у-у)+5;
6=-2у+8;
2у=2;
У=2:2;
у=1;
Если у=1,то х=3-1=2
Ответ:(2;1)
-(х+у)=-3;
-х-у=-3;
х+у=3;
х=3-у;
А теперь подставим в первое :
2(3-у+у)=(3-у-у)+5;
6=-2у+8;
2у=2;
У=2:2;
у=1;
Если у=1,то х=3-1=2
Ответ:(2;1)
Вас заинтересует
3 года назад
3 года назад
8 лет назад
8 лет назад
10 лет назад
10 лет назад
11 лет назад