Помогите упростить выражения 96-97.
Только чётные номера!
И найди значение выражения.(98упр.)
Заранее спасибо!!(Главное решение)
Приложения:
Ответы
Ответ дал:
0
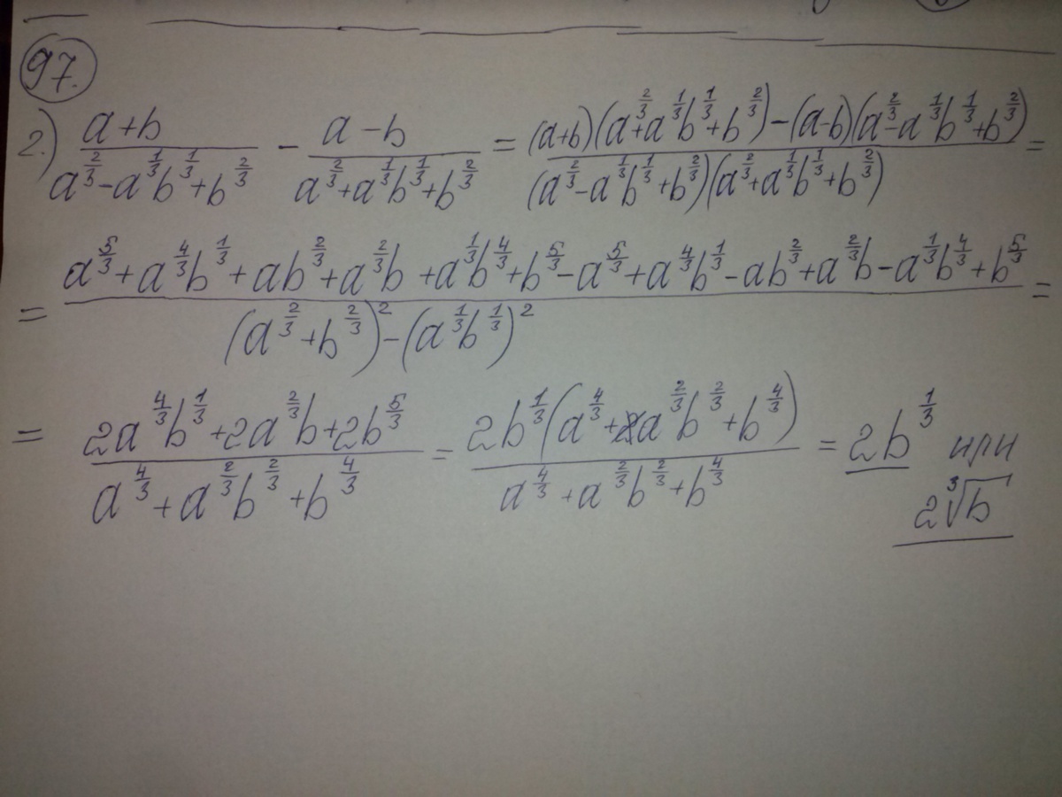
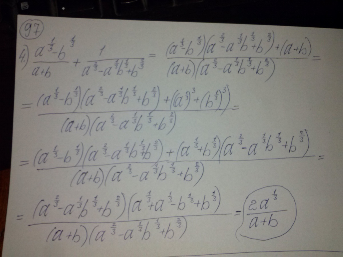
как-то так))))))))))))..
Приложения:
Вас заинтересует
3 года назад
3 года назад
8 лет назад
8 лет назад
10 лет назад
10 лет назад
11 лет назад