• Предмет: Математика
  • Автор: Vitekbeshennyi
  • Вопрос задан 10 лет назад

2x^2-4x+1=0 плиз помогите,срочно надо

Ответы

Ответ дал: ВладимирБ
0
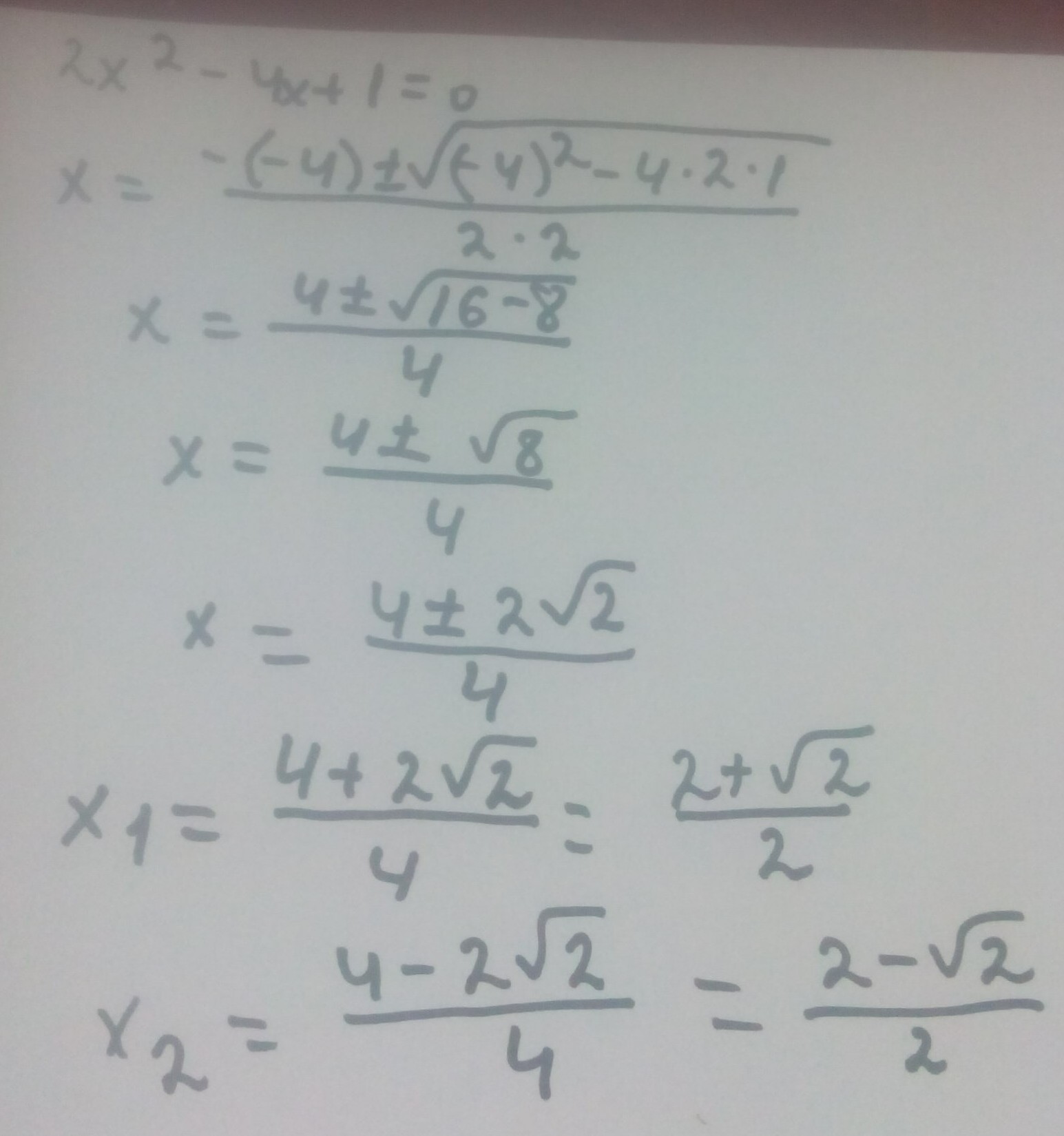
Решение смотри на фото
Приложения:
Ответ дал: Аноним
0
решение есть на фото.
Приложения:
Вас заинтересует