• Предмет: Алгебра
  • Автор: Kupriyanov98
  • Вопрос задан 10 лет назад

Алгебра, простой пример

Приложения:

Ответы

Ответ дал: АннаАрт
0
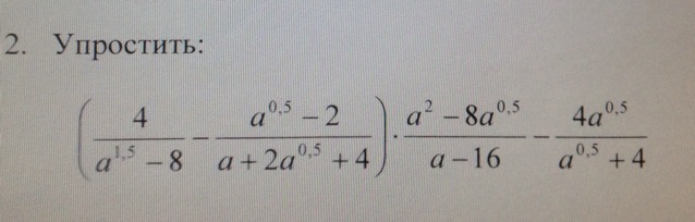
(frac{4}{a^{1,5}-8}-frac{a^{0,5}-2}{a+2a^{0,5}+4})*frac{a^2-8a^{0,5}}{a-16}\ \ 1)frac{4}{a^{1,5}-8}-frac{a^{0,5}-2}{a+2a^{0,5}+4} =frac{4}{(a^{0,5}-2)(a+2a^{0,5}+4)}-frac{a^{0,5}-2}{a+2a^{0,5}+4}= \ \ =frac{4-(a^{0,5}-2)^2}{(a^{0,5}-2)(a+2a^{0,5}+4)} =frac{4-(a-4a^{0,5}+4)}{(a^{0,5}-2)(a+2a^{0,5}+4)} =frac{4-a+4a^{0,5}-4}{(a^{0,5}-2)(a+2a^{0,5}+4)}= \ \ =frac{-a+4a^{0,5}}{(a^{0,5}-2)(a+2a^{0,5}+4)}=-frac{a^{0,5}(a^{0,5}-4)}{a^{1,5}-8}

2)-frac{a^{0,5}(a^{0,5}-4)}{a^{1,5}-8}*frac{a^2-8a^{0,5}}{a-16} =-frac{a^{0,5}(a^{0,5}-4)}{a^{1,5}-8}*frac{a^{0,5}(a^{1,5}-8)}{(a^{0,5}-4)(a^{0,5}+4)}= \ \ =-frac{a^{0,5}}{1}*frac{a^{0,5}}{a^{0,5}+4}=-frac{a}{a^{0,5}+4} \ \ 3)-frac{a}{a^{0,5}+4}-frac{4a^{0,5}}{a^{0,5}+4}=frac{-a-4a^{0,5}}{a^{0,5}+4} =-frac{a+4a^{0,5}}{a^{0,5}+4}=-frac{a^{0,5}(a^{0,5}+4)}{a^{0,5}+4}=-a^{0,5}
Приложения:
Вас заинтересует