• Предмет: Математика
  • Автор: levik1f
  • Вопрос задан 10 лет назад

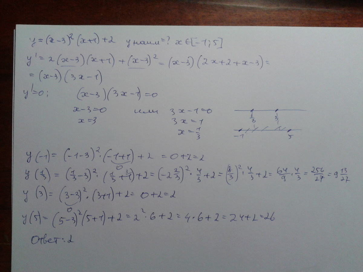
Найдите наименьшее значение функции y=(x-3)^2(x+1)+2 на отрезке [-1:5

Ответы

Ответ дал: irinan2014
0
Ответ обведён кружочком...
Приложения:
Ответ дал: Nagibator0
0
y'=2( x^{2} -2x-3)+(x-3)^2

y'=3x^2-10x+3 \ 3x^2-10x+3=0 \ D=64 \ x1=3 \ x2= frac{1}{3}
Подставив в исходное уравнение полученные результаты и данные концы определяемого отрезка, получим, что при х=3,у=2 - наименьш. знач.
Ответ:уЄ{2}
Приложения:
Вас заинтересует