• Предмет: Алгебра
  • Автор: Totoska007
  • Вопрос задан 10 лет назад

Очень нужно, помогите!
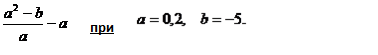
Найдите значение выражения:

Приложения:

Ответы

Ответ дал: manyny06
0
( а²- в -а²) а = - ва
при а =0.2      в= -5
- (-5) 0.2 = 5 : 0.2= 50  : 2 = 25


Вас заинтересует