• Предмет: Алгебра
  • Автор: Masha115
  • Вопрос задан 11 лет назад

Виконайте дію:

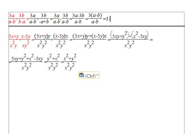
1) 3a  + 3b   2) 5x+y            +    x-5y 

  a-b     b-a      x квадрат y        xy квадрат

Ответы

Ответ дал: triolana
0

===============================================

Приложения:
Вас заинтересует