• Предмет: Алгебра
  • Автор: Angelo4ek7
  • Вопрос задан 11 лет назад

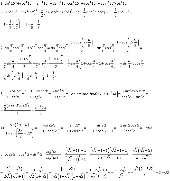
1. Найдите сумму sin^4 15 + cos^4 15 (15 -градусы) 2, Вычислить sin п/8*cos^3 п/8-sin^3 п/8* cos п/8 3,Найдите cos2a,если ctga=корень из 2 -1

Помогите пожалуйста 

Приложения:

Ответы

Ответ дал: Mgstr2018
0

                                     Решение:.............................

Приложения:
Вас заинтересует