• Предмет: Алгебра
  • Автор: ari99
  • Вопрос задан 11 лет назад

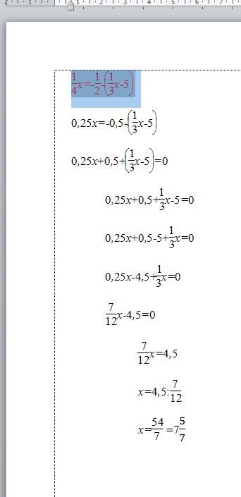
найдите корень уравнения  1/4х=-1/2-(1/3х-5)

Ответы

Ответ дал: triolana
0

----------------------------------------------------------------

Приложения:
Вас заинтересует