• Предмет: Алгебра
  • Автор: vovayar
  • Вопрос задан 11 лет назад

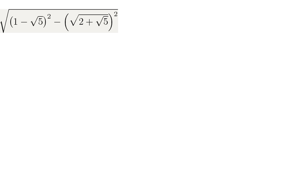
Упростить Выражения !(выложил картинкой)

Приложения:

Ответы

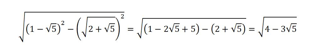
Ответ дал: tot0123
0

.................................................................................................................................................

Приложения:
Вас заинтересует