Помогите пожалуйста построить график функции Y=x+1 /X^2+3x+2 Пожалуйста!! ( Как его надо разложить что бы график построить )
Ответы
Ответ дал:
0
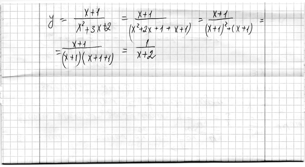
я сократил функцию,ну а график построишь сам
Приложения:

Ответ дал:
0
Вот вам построенный график.
Приложения:

Вас заинтересует
2 года назад
8 лет назад
10 лет назад
10 лет назад
10 лет назад