• Предмет: Алгебра
  • Автор: rulana99
  • Вопрос задан 10 лет назад

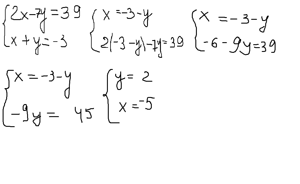
Система уравнений:2х-7у=39
х+у=-3
Способ сложения и способ подстановки очень надо

Ответы

Ответ дал: 8Stars8
0
1 фотография - метод сложения
2 фотография метод подстановки
Приложения:
Вас заинтересует