• Предмет: Алгебра
  • Автор: Ymnik1280
  • Вопрос задан 10 лет назад

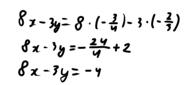
8x-3y=8*(-3/4)-3*(-2/3)

Ответы

Ответ дал: Shomr
0
Вот твое решение, но что-то мне подсказывает... Что ты не всю задачу написал. 
Приложения:
Вас заинтересует