• Предмет: Алгебра
  • Автор: BriannaV
  • Вопрос задан 10 лет назад

Помогите, пожалуйста!
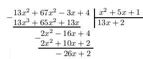
Найдите остаток от деления многочлена f(x)= 13x^3+67x^2-3x+4 на многочлен p(x)=x^2+5x+1

Ответы

Ответ дал: paradiseva
0
Решение прикреплено изображением
Ответ: остаток = -26x+2
Приложения:
Вас заинтересует