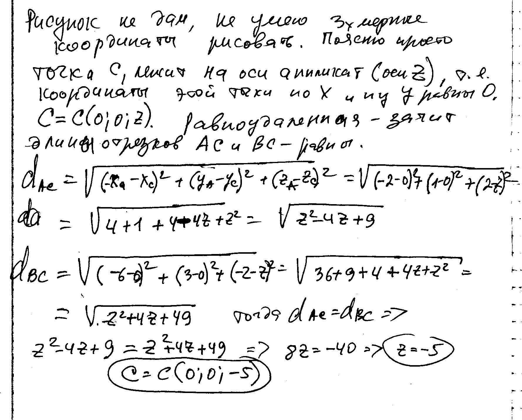
Даны точки А(-2; 1; 2), В(-6; 3; -2) на оси аппликат. Найти точку С, равноудалённую от точек А и В.
Ответы
Ответ дал:
0
решение в скане......................
Приложения:

Вас заинтересует
2 года назад
2 года назад
7 лет назад
7 лет назад
10 лет назад
10 лет назад
10 лет назад