Ответы
Ответ дал:
0
\\\\\\\\\\\\\\\\
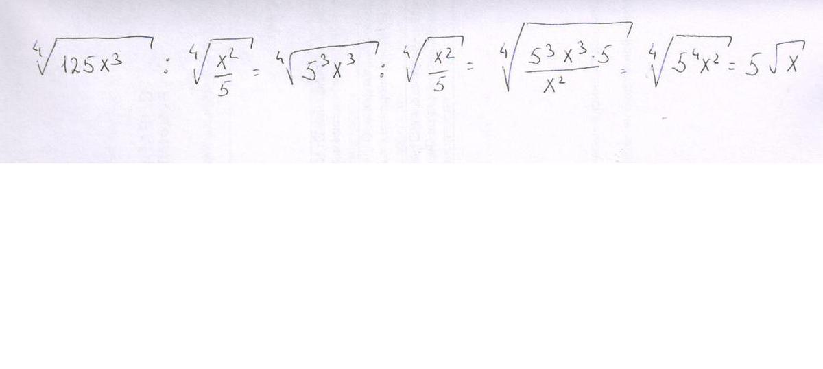
см.вложенный файл
см.вложенный файл
Приложения:

Вас заинтересует
2 года назад
2 года назад
7 лет назад
7 лет назад
10 лет назад
10 лет назад