• Предмет: Алгебра
  • Автор: CooperJapan
  • Вопрос задан 10 лет назад

Помогите решить пожалуйста. Очень нужно плис!!
Заранее благодарен

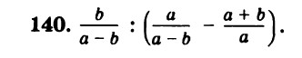
Приложения:

Ответы

Ответ дал: inblu
0
 frac{ab+a(a-b)}{(a-b)b}: frac{a}{a-b}= frac{ab+a^2-ab}{(a-b)b}* frac{a-b}{a}= frac{a^2*(a-b)}{(a-b)b*a}= frac{a}{b}
 frac{b}{a-b}: frac{a^2-(a-b)(a+b)}{a(a-b)}=frac{b}{a-b}: frac{a^2-a^2+b^2}{a(a-b)}=frac{b}{a-b}: frac{b^2}{a(a-b)}=frac{b}{a-b}* frac{a(a-b)}{b^2}= frac{a}{b}
Ответ дал: CooperJapan
0
сенк
Ответ дал: CooperJapan
0
хороший калькулятор :D
Вас заинтересует