• Предмет: Алгебра
  • Автор: Рузанова
  • Вопрос задан 11 лет назад

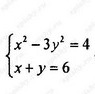
решите методом подстановки систему уравнений

Приложения:

Ответы

Ответ дал: arsenlevadniy
0

x^2-3y^2=4,

x+y=6,

 

x=6-y,

(6-y)^2-3y^2=4,

 

36-12y+y^2-3y^2-4=0,

-2y^2-12y+32=0,

y^2+6y-16=0,

y1=-8, y2=2,

x1=14, x2=4.

Вас заинтересует