• Предмет: Физика
  • Автор: Zazik99
  • Вопрос задан 10 лет назад

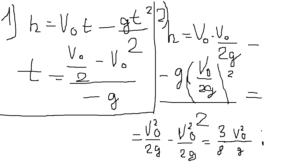
на какой высоте скорость тела брошенного вертикально вверх со скорость уменьшится вдвое?

Ответы

Ответ дал: Аноним
0
Разделил отдельно 1, 2 действие, за чертой - 3 действие решение.
Приложения:
Вас заинтересует