• Предмет: Алгебра
  • Автор: Светлана1324
  • Вопрос задан 10 лет назад

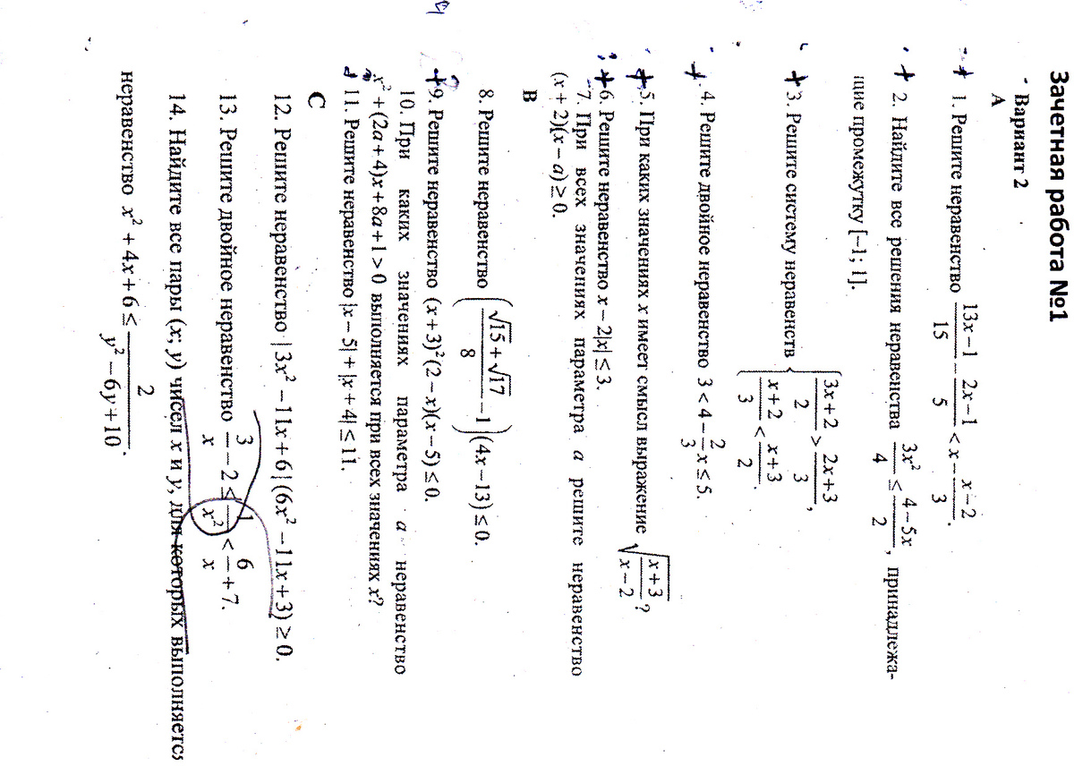
 Решите неравенство   |3 x^{2} -11X+6| (6 x^{2} -11x+3) geq 0, он же дан внизу под номером 12.

Приложения:

Ответа на этот вопрос пока нет. Попробуйте найти его через форму поиска.

Вас заинтересует