• Предмет: Математика
  • Автор: XXLXXLLL
  • Вопрос задан 10 лет назад

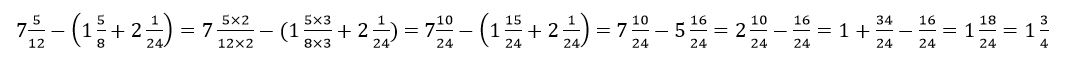
7 5/12 - (1 5/8+2 1/24)=
по действиям!!

Ответы

Ответ дал: Zlataya
0
Решение в прикрепленном файле.
Приложения:
Вас заинтересует