• Предмет: Алгебра
  • Автор: dashakфь
  • Вопрос задан 10 лет назад

Найти производную y = x(ln^3x-3ln^2x+6lnx-6)

Ответы

Ответ дал: Anastsiia
0
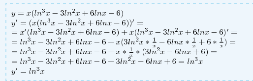
y = x(ln^3x-3ln^2x+6lnx-6) \ y'=(x(ln^3x-3ln^2x+6lnx-6))'= \ =x'(ln^3x-3ln^2x+6lnx-6)+x(ln^3x-3ln^2x+6lnx-6)'= \ =ln^3x-3ln^2x+6lnx-6+x(3ln^2x* frac{1}{x}-6lnx*frac{1}{x}+6*frac{1}{x})= \ =
ln^3x-3ln^2x+6lnx-6+x* frac{1}{x}*(3ln^2x-6lnx+6)= \ =
ln^3x-3ln^2x+6lnx-6+3ln^2x-6lnx+6=ln^3x \ y'=ln^3x
Приложения:
Вас заинтересует