• Предмет: Алгебра
  • Автор: Liz123678
  • Вопрос задан 10 лет назад

Помогите срочно!!! Надо построить график функции
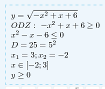
У= корень из -х^2+х+6

Ответы

Ответ дал: Anastsiia
0
y= sqrt{- x^{2} +x+6} \ ODZ:  - x^{2} +x+6 geq 0 \  x^{2} -x-6 leq 0 \ D=25=5^2 \ x_1=3;x_2=-2 \ xin[-2;3] \ y geq 0
Приложения:
Вас заинтересует