• Предмет: Алгебра
  • Автор: kazekb
  • Вопрос задан 10 лет назад

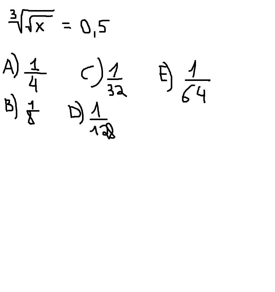
решите уравнение с вариантами ответов

Приложения:

Ответы

Ответ дал: SSevarochka
0
правильный ответ вариант Е
Ответ дал: kazekb
0
Полное решение пожалуйста напищите
Вас заинтересует