Ответы
Ответ дал:
0
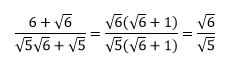
1. Разлаживаешь корень из тридцати на корень из 5 и корень из 6.
2. В числителе выносишь корень из 6.
3. В знаменателе выносишь корень из 5.
4. Сокращаешь одинаковые значения в скобках.
2. В числителе выносишь корень из 6.
3. В знаменателе выносишь корень из 5.
4. Сокращаешь одинаковые значения в скобках.
Приложения:

Вас заинтересует
2 года назад
2 года назад
7 лет назад
10 лет назад
10 лет назад
10 лет назад